Оставьте вашу заявку

Внедрение 1С:Бухгалтерия 8 для Казахстана в ТОО Alfred H.Knight UK

О проекте

Тип проекта: Автоматизация

Версия 1С:Предприятия: 8.2
Внедренное типовое решение: 1С:Бухгалтерия 8 для Казахстана
Отрасли: Производство, ТЭК >> Металлургическая промышленность, металлообработка

Автоматизированы следующие функции:

  • Финансы, управленческий учет, мониторинг показателей
    • Учет бухгалтерский, налоговый, бюджетный, включая регламентированную отчетность
      • Бухгалтерский учет
        • Банк и касса
        • Завершение периода
        • Нематериальные активы
        • Основные средства
        • Расчет зарплаты и кадровый учет
        • Расчеты с контрагентами
        • Регламентированная отчетность
        • Товарно-материальные ценности
      • Налоговый учет

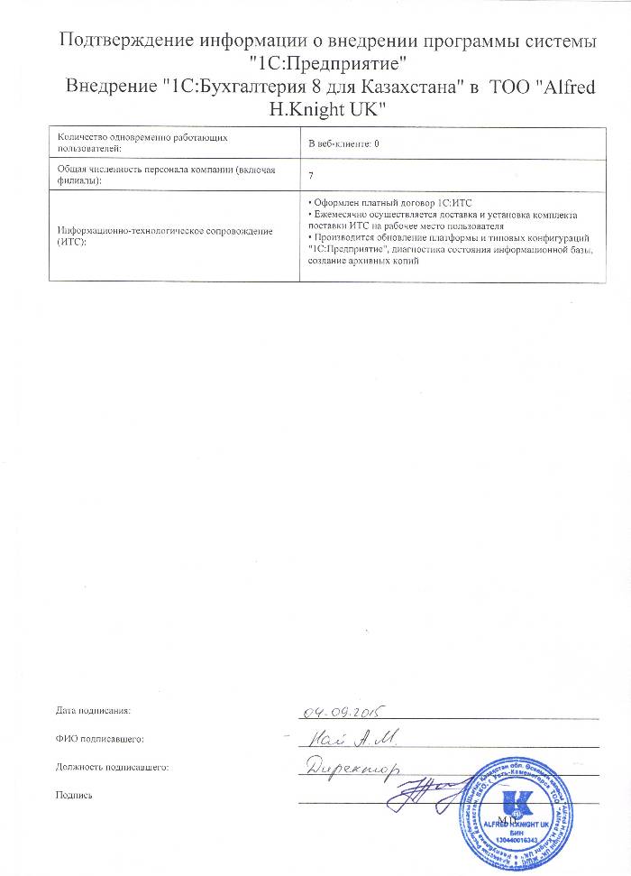
Сопровождение:

  • Оформлен платный договор 1С:ИТС
  • Ежемесячно осуществляется доставка и установка комплекта поставки ИТС на рабочее место пользователя
  • Производится обновление платформы и типовых конфигураций 1С:Предприятие, диагностика состояния информационной базы, создание архивных копий

Выполнены следующие работы:

  • Консультации по выбору программного обеспечения и вариантов его сопровождения
  • Продажа выбранных программных продуктов
  • Установка программного обеспечения на компьютеры заказчика
  • Начальные настройки типового/отраслевого решения (программы) для начала ведения учета

Внедрение

ТОО Alfred H.Knight UK

Общее число автоматизированных рабочих мест: 1

Отзыв клиента: